← Back to Arun District Coucil
Application
M/12/25/HH
Arun District Coucil · OCELLA
Status
Unknown status
House extension
Received
n/a
New dwellings
0
What you can do
Take Action
Make your voice heard. Authorities need to hear from people who support new homes.
Summary
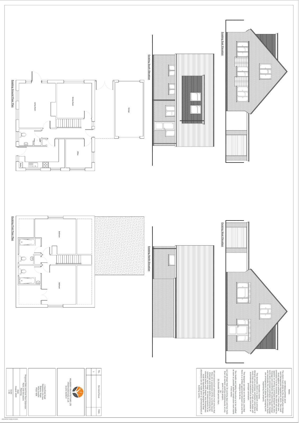
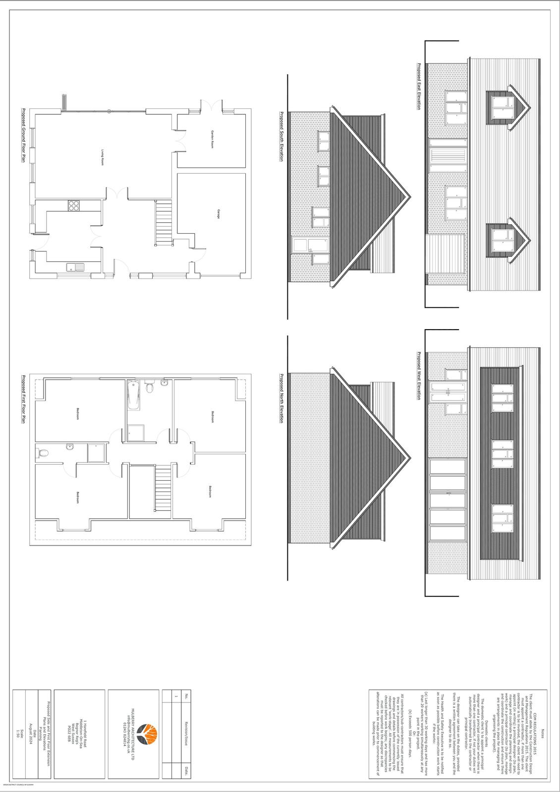
Two-storey side extension, front and rear dormers, and fenestration alterations following garage demolition.
Full Proposal
Two storey side extension, installation of front and rear dormers and alterations to fenestration, following the demolition of existing side garage and removal of existing side dormer.
Detail pages
- View live detail on council site
- No archived detail page available.
Documents
Additional Docs
Document
Not downloaded
· Council link
Additional Docs
Document
Not downloaded
· Council link
Application
Document
Not downloaded
· Council link
Consultation
Document
Not downloaded
· Council link
Consultation
Document
Not downloaded
· Council link
Decision
Document
Not downloaded
· Council link
Officers Report
Document
Not downloaded
· Council link
Planning Correspondence
Document
Not downloaded
· Council link
Planning Correspondence
Document
Not downloaded
· Council link
Planning Correspondence
Document
Not downloaded
· Council link
Plans
Document
Not downloaded
· Council link
Rep Letters
Document
Not downloaded
· Council link
Rep Letters
Document
Not downloaded
· Council link
Statement
Document
Not downloaded
· Council link
Substitute Plan
Document
Not downloaded
· Council link
Substitute Plan
Document
Not downloaded
· Council link
Superceded Document
Document
Not downloaded
· Council link
Superceded Document
Document
Not downloaded
· Council link
Systems Correspondence
Document
Not downloaded
· Council link
Systems Correspondence
Document
Not downloaded
· Council link
Systems Correspondence
Document
Not downloaded
· Council link
Systems Correspondence
Document
Not downloaded
· Council link