← Arun District Council

Status

Pending House extension
Received
Not recorded
New homes
0

Summary

Remove bay window and garage; construct single-storey rear extension, first-floor front extension and attached garage.

Full proposal

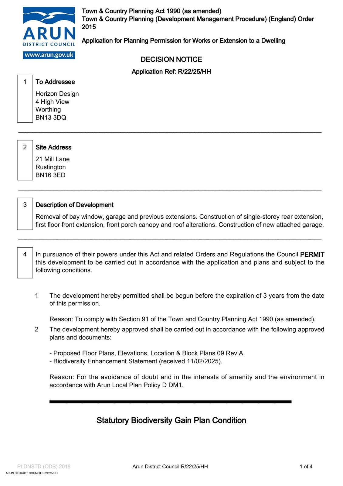
Removal of bay window, garage and previous extensions. Construction of single-storey rear extension, first floor front extension, front porch canopy and roof alterations. Construction of new attached garage.

Documents

Document
Archived · Original link
Document
Archived · Original link
Document
Archived · Original link
Document
Archived · Original link
Document
Archived · Original link
Document
Archived · Original link
Document
Archived · Original link
Document
Archived · Original link
Document
Archived · Original link
Document
Archived · Original link

Have your say

Your comment matters. Councils must consider every representation that raises material planning considerations.

Write a comment