← Arun District Council

Status

Pending House extension
Received
Not recorded
New homes
0

Full proposal

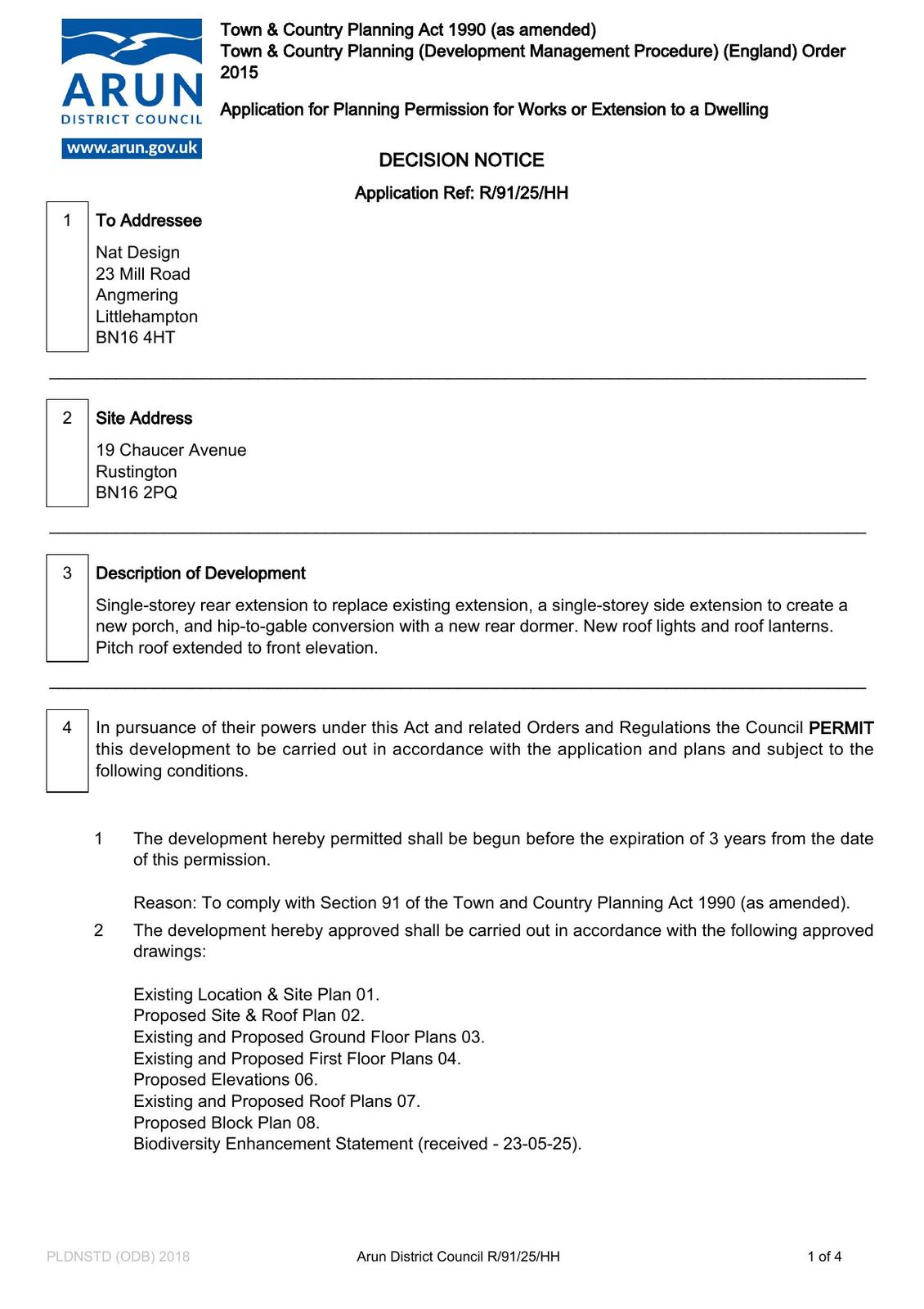
Single-storey rear extension to replace existing extension, a single-storey side extension to create a new porch, and hip-to-gable conversion with a new rear dormer. New roof lights and roof lanterns. Pitch roof extended to front elevation.

Documents

Document
Archived · Original link
Document
Archived · Original link
Document
Archived · Original link
Document
Archived · Original link
Document
Archived · Original link
Document
Archived · Original link
Document
Archived · Original link
Document
Archived · Original link
Document
Archived · Original link
Document
Archived · Original link
Document
Archived · Original link
Document
Archived · Original link
Document
Archived · Original link
Document
Archived · Original link
Document
Archived · Original link
Document
Archived · Original link

Have your say

Your comment matters. Councils must consider every representation that raises material planning considerations.

Write a comment