← Islington Council

Status

APPEAL COMPLETED Commercial
Received
04 Apr 2025
New homes
0

Full proposal

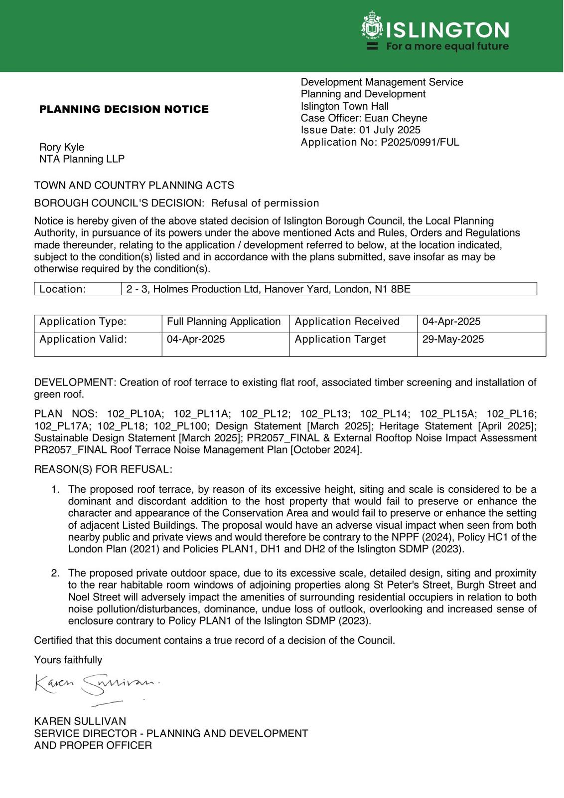
Creation of roof terrace to existing flat roof, associated timber screening and installation of green roof.

Documents

Appeal Decision
Archived · Original link
Appeal Decision
Archived · Original link
Appeal Documents
Archived · Original link
Appeal Documents
Archived · Original link
Application Form - Redacted
Archived · Original link
Delegated Report
Archived · Original link
Application Supporting Documents
Archived · Original link
Application Supporting Documents
Archived · Original link
Decision Notice Final
Archived · Original link
Application Supporting Documents
Archived · Original link
Drawings - Existing
Archived · Original link
Application Supporting Documents
Archived · Original link
Appeal Documents
Archived · Original link
Application Supporting Documents
Archived · Original link
Application Supporting Documents
Archived · Original link
Drawings - Proposed
Archived · Original link
Drawings - Proposed
Archived · Original link
Drawings - Proposed
Archived · Original link
Drawings - Proposed
Archived · Original link
Drawings - Proposed
Archived · Original link
Drawings - Proposed
Archived · Original link
Application Supporting Documents
Archived · Original link
Application Supporting Documents
Archived · Original link

Have your say

Your comment matters. Councils must consider every representation that raises material planning considerations.

Write a comment