← South Ribble Borough Council

Status

Unknown New housing
Received
31 Dec 2024
New homes
1

Summary

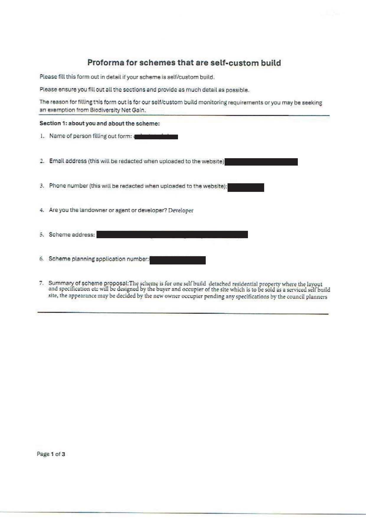
Outline application for one self or custom-build dwelling, all matters reserved.

Full proposal

Outline planning application with all matters reserved for one self or custom build dwelling

Documents

Planning File
Archived · Original link
Planning File
Archived · Original link
Planning File
Archived · Original link
Consultee Response
Archived · Original link
Decision Notice
Archived · Original link
Delegated Report
Archived · Original link
Planning File
Archived · Original link
Consultee Response
Archived · Original link
Planning File
Archived · Original link
Planning File
Archived · Original link
Planning File
Archived · Original link
Consultee Response
Archived · Original link
Planning File
Archived · Original link
Planning File
Archived · Original link
Consultee Response
Archived · Original link
UU
Consultee Response
Archived · Original link

Have your say

Your comment matters. Councils must consider every representation that raises material planning considerations.

Write a comment