← City of York Council

Status

Awaiting decision Listed building
Received
Not recorded
New homes
0

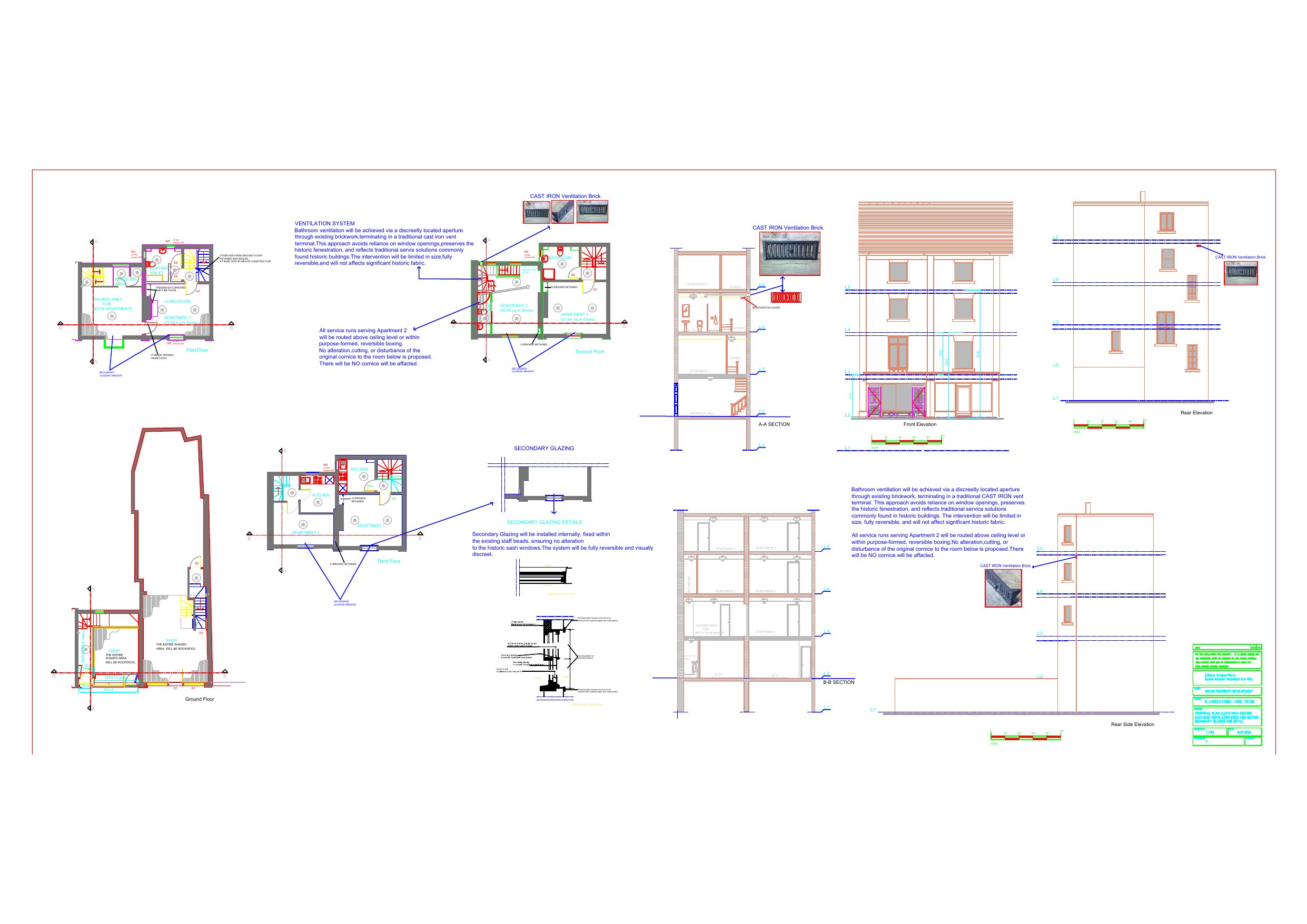
Full proposal

Internal alterations in association with the change of use of upper floors of 14 and 14a Church Street to residential use

Documents

ACOUSTIC ADDENDUM - NOISE COMPLIANCE REPORT
Report
Not yet archived · Original link
ACOUSTIC REPORT
Report
Not yet archived · Original link
ACOUSTIC REPORT
Report
Not yet archived · Original link
Application Form
Application Form
Not yet archived · Original link
CONSERVATION
Internal Responses
Not yet archived · Original link
CONSERVATION
Internal Responses
Not yet archived · Original link
CONSERVATION
Internal Responses
Not yet archived · Original link
COVER LETTER
Covering Letter
Not yet archived · Original link
DESIGN AND ACCESS STATEMENT
Design & Access Statement
Not yet archived · Original link
ELEVATIONS
Superseded Drawing
Not yet archived · Original link
EMAIL ACCOMPANYING ACOUSTIC REPORT
Correspondence
Not yet archived · Original link
EMAIL IN 03.02.25 - RAYMOND BARNES
Correspondence
Not yet archived · Original link
EMAIL IN 07.07.25 - ACCOMPANYING REVISED PLANS
Correspondence
Not yet archived · Original link
EXISTING
Superseded Drawing
Not yet archived · Original link
EXISTING ELEVATIONS
Revised Drawing
Not yet archived · Original link
EXISTING PLANS & ELEVATIONS
Revised Drawing
Not yet archived · Original link
EXISTING PLANS AND ELEVATIONS
Drawing
Not yet archived · Original link
FIRE EXTINGUISHING SYSTEM
Drawing
Not yet archived · Original link
FIRE EXTINGUISHING SYSTEM - ROCKWOOL CROSS-SECTION
Drawing
Not yet archived · Original link
HERITAGE STATEMENT
Superseded Report
Not yet archived · Original link
HERITAGE STATEMENT REVISED
Heritage Statement
Not yet archived · Original link
Location Plan
Location Plan
Not yet archived · Original link
PROPOSAL
Superseded Drawing
Not yet archived · Original link
PROPOSED ELEVATIONS
Revised Drawing
Not yet archived · Original link
Superseded Drawing
Archived · Original link
ROCKWOOL - TECHNICAL DATASHEET (SUMMARY)
Report
Not yet archived · Original link
SAMPLE - CAST IRON VENTILATION BRICK
Photographs & Photomontages
Not yet archived · Original link
SAMPLE - CAST IRON VENTILATION BRICK (FRONT VIEW)
Photographs & Photomontages
Not yet archived · Original link
SECONDARY GLAZING - ACCOMPANYING DETAIL
Report
Not yet archived · Original link
SECONDARY GLAZING WINDOW DETAILS
Drawing
Not yet archived · Original link
SPRINKLER FIRE SUPPRESSION SYSTEM
Drawing
Not yet archived · Original link
SPRINKLER SYSTEM - PRE-INSTALLATION REQUIREMENTS
Report
Not yet archived · Original link
SPRINKLER SYSTEM QUOTATION
Report
Not yet archived · Original link
SPRINKLER SYSTEM QUOTATION
Report
Not yet archived · Original link
VENT ROUTE
Drawing
Not yet archived · Original link
VENTILATION STRATEGY ADDENDUM
Report
Not yet archived · Original link

Have your say

Your comment matters. Councils must consider every representation that raises material planning considerations.

Write a comment